Lab 7: Kalman Filtering

Goal: Implement a Kalman Filter to execute the behavior from Lab 5 faster. The Kalman Filter will supplement the slowly sampled ToF values to get to the wall faster.

Task 1: Estimate Drag and Momentum

First, I needed to collect step response data. To do so, I need to drive the car straight at a wall at a constant speed. I setup the following variables and functions to do so.


Kalman Filter Global Variables

Global Variables C++
const int KF_DATA_LEN = 2000;

int kf_run_flag = 0;
int kf_data_count = 0;
float kf_start_time = 0.0;
int kf_pwm = 0;

float kf_time_arr[KF_DATA_LEN];
float kf_motor_input_arr[KF_DATA_LEN];
float kf_tof_arr[KF_DATA_LEN];

START_KF

START_KF C++
case START_KF:
    success = robot_cmd.get_next_value(kf_pwm); if (!success) return;
    kf_data_count = 0;
    kf_start_time = millis();
    kf_run_flag = 1;
    break;

STOP_KF

STOP_KF C++
case STOP_KF:
    kf_run_flag = 0;
    stop();
    Serial.println("KF step response stopped");
    break;

SEND_KF_DATA

SEND_KF_DATA C++
case SEND_KF_DATA:
    for (int i = 0; i < kf_data_count; i++) {
        tx_estring_value.clear();
        tx_estring_value.append(kf_time_arr[i]);        tx_estring_value.append(",");
        tx_estring_value.append(kf_tof_arr[i]);         tx_estring_value.append(",");
        tx_estring_value.append(kf_motor_input_arr[i]);
        tx_characteristic_string.writeValue(tx_estring_value.c_str());
        delay(10);
    }
    break;

runKFIteration()

Runs an iteration, collects a single ToF and motor input datapoint.

runKFIteration() C++
void runKFIteration() {
    if (kf_data_count >= KF_DATA_LEN) {
        kf_run_flag = 0;
        stop();
        return;
    }

    forward(kf_pwm);

    if (tofSensor1.checkForDataReady()) {
        float dist = tofSensor1.getDistance();  // mm
        tofSensor1.clearInterrupt();
        tofSensor1.stopRanging();
        tofSensor1.startRanging();

        kf_time_arr[kf_data_count] = millis() - kf_start_time;
        kf_tof_arr[kf_data_count] = dist;
        kf_motor_input_arr[kf_data_count] = kf_pwm;
        kf_data_count++;
    }
}

Update to main loop()

loop() C++
void loop() {
    // rest of function not shown
    if (kf_run_flag) {
        runKFIteration();
    }
}

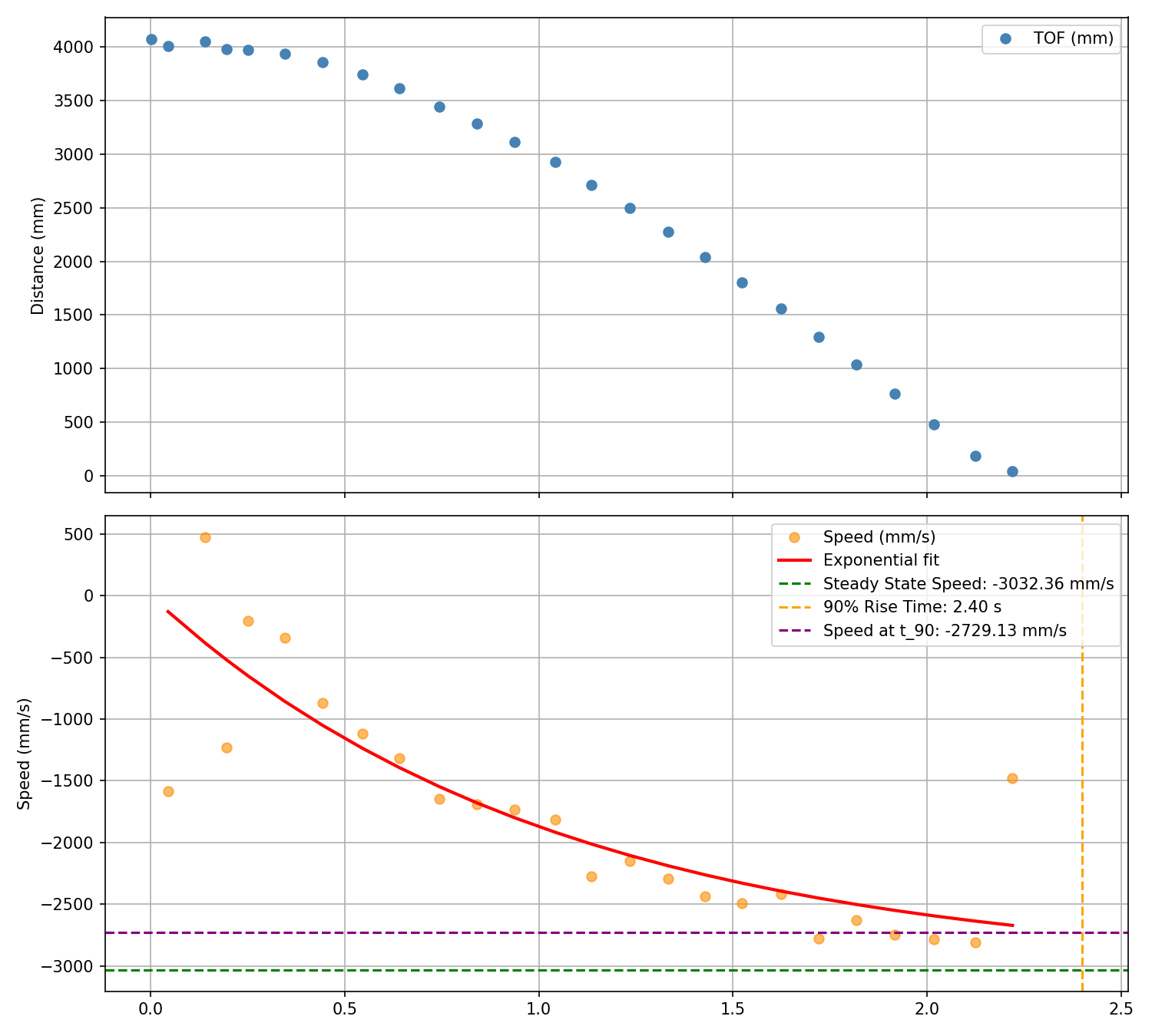
To estimate the drag and momentum terms for the Kalman state space model, I drove the robot toward a wall at constant PWM of 120, logging ToF values and plotting speed. For the speed, I fit an exponential curve with scipy to extract steady state velocity and 90% rise time. Here is the plotted data.

Step response data plot

Next, I calculate the drag and mass estimations. We need to approximate the open-loop system with Newton's Second Law to get these estimations and define our state space matrices.

From lecture, we have the state space matrix derivation:

State space matrix derivation

Here are the estimations for drag and mass:

Drag and mass derivation

Now that I have the following values:

We can calculate the drag and mass estimations:

Drag and mass estimation

And our final state space matrices:

State space matrices

Task 2: Initialize KF (Python)

First I discretized my A and B matrices:

Discretize A and B Python
data = np.loadtxt('step_data_run.csv', delimiter=',', skiprows=1)
tof = data[:, 1] * 25.4

A = np.array([[0,    1   ],
              [0,   -0.85]])
B = np.array([[0   ],
              [2.57]])

delta_t = 0.0955

Ad = np.eye(2) + delta_t * A
Bd = delta_t * B

Next, I identified my C matrix and state vector:

C matrix and state vector Python
C = np.array([[1, 0]])
x = np.array([[tof[0]], [0]])

In order to get ballpark estimates for process and sensor noise covariance matrices, I used a sensor variance of 15 mm, after testing ToF readings when stationary.

Noise calculation
Noise covariance matrices Python
dt = .0955
dx = 25
sig1 = np.sqrt(100/dt)
sig2 = sig1
sig3 = np.sqrt(100/dx)

sigma_u = np.array([[sig1**2, 0], [0, sig2**2]])
sigma_z = np.array([[sig3**2]])

Task 3: Implement and Test Kalman Filter in Jupyter (Python)

Next, I worked on implementing the Kalman Filter on the Python side. I used the following function:

kf() Python
def kf(mu, sigma, u, y):
    mu_p = A.dot(mu) + B.dot(u)
    sigma_p = A.dot(sigma.dot(A.transpose())) + sigma_u

    sigma_m = C.dot(sigma_p.dot(C.transpose())) + sigma_z
    kkf_gain = sigma_p.dot(C.transpose().dot(np.linalg.inv(sigma_m)))
    y_m = y - C.dot(mu_p)
    mu = mu_p + kkf_gain.dot(y_m)
    sigma = (np.eye(2) - kkf_gain.dot(C)).dot(sigma_p)
    return mu, sigma

NOTE: I spent a lot of time tuning and ended up setting d = 0.33 / 5.

My testing for the Python simulation is split into two parts: using data at ToF sensor speed (original step data) and data at PID loop speed.


Original Step Data: dt = 0.0955

sig1 = 32.3592, sig2 = 32.3592, sig3 = 4.4721

KF simulation estimate — original step data, low sig3

We can see that the KF model follows the ToF measurements very closely.

sig1 = 32.3592, sig2 = 32.3592, sig3 = 316.2278

KF simulation estimate — original step data, high sig3

If we multiply sig3 by a factor of 100, the results depend much less on the ToF measurements.


Faster Step Data: dt = 0.008

sig1 = 110.2515, sig2 = 110.2515, sig3 = 4.4721

KF simulation estimate — faster step data, low sig3

The KF model follows the ToF measurements well — it interpolates between them and corrects itself based on sensor measurements.

sig1 = 110.2515, sig2 = 110.2515, sig3 = 44721.3595

KF simulation estimate — faster step data, very high sig3

When I multiply sig3 by 10,000, the KF model diverges from the ToF measurements and no longer relies on sensor data at all.


Task 4: Implement Kalman Filter on the Robot

Next, I implemented the Kalman Filter on the Arduino side. I added a new start flag, kf_run_pid_flag, and three commands, similar to before:


START_KF_PID

START_KF_PID C++
case START_KF_PID:
    success = robot_cmd.get_next_value(kf_pwm); if (!success) return;
    kf_data_count = 0;
    kf_start_time = millis();
    tofSensor1.startRanging();
    while (!tofSensor1.checkForDataReady()) { delay(1); }
    kf_last_tof = tofSensor1.getDistance();
    kf_run_pid_flag = 1;
    break;

STOP_KF_PID

STOP_KF_PID C++
case STOP_KF_PID:
    kf_run_pid_flag = 0;
    stop();
    Serial.println("KF PID stopped");
    break;

SEND_KF_PID_DATA

SEND_KF_PID_DATA C++
case SEND_KF_PID_DATA:
    for (int i = 0; i < kf_data_count; i++) {
        tx_estring_value.clear();
        tx_estring_value.append(kf_time_arr[i]);        tx_estring_value.append(",");
        tx_estring_value.append(kf_tof_arr[i]);         tx_estring_value.append(",");
        tx_estring_value.append(kf_pos_arr[i]);         tx_estring_value.append(",");
        tx_estring_value.append(kf_vel_arr[i]);         tx_estring_value.append(",");
        tx_estring_value.append(kf_pid_speed[i]);
        tx_characteristic_string.writeValue(tx_estring_value.c_str());
        delay(10);
    }
    break;

State Matrices and Variables

I declared my state matrices and variables tuned from the Python simulation:

KF matrices C++
float kf_d    = 0.33 / 5.0;
float kf_m    = 0.389;
float kf_dt   = 0.008;
float kf_dx   = 5.0;

float sig1 = sqrt(100.0 / kf_dt);
float sig2 = sig1;
float sig3 = sqrt(100.0 / kf_dx);

Matrix<2,2> Ad = {1.0,         kf_dt,
                  0.0,         1.0 - kf_dt * (kf_d / kf_m)};

Matrix<2,1> Bd = {0.0,
                  -kf_dt * (1.0 / kf_d)};

Matrix<1,2> C = {1.0, 0.0};

Matrix<2,2> sigma_u = {sig1 * sig1, 0.0,
                       0.0,         sig2 * sig2};

Matrix<1,1> sigma_z = {sig3 * sig3};

kalman_filter()

kalman_filter() C++
KalmanPair kalman_filter(Matrix<2,1> mu, Matrix<2,2> sigma, Matrix<1,1> u, Matrix<1,1> y, bool isUpdate) {
    Matrix<2,1> mu_p    = (Ad * mu) + (Bd * u);
    Matrix<2,2> sigma_p = Ad * sigma * ~Ad + sigma_u;

    if (!isUpdate) return { mu_p, sigma_p };

    Matrix<1,1> sigma_m     = C * sigma_p * ~C + sigma_z;
    Matrix<1,1> sigma_m_inv = {1.0f / sigma_m(0,0)};
    Matrix<2,1> kkf_gain    = sigma_p * ~C * sigma_m_inv;

    Matrix<1,1> y_m = {y(0,0) - (C * mu_p)(0,0)};
    Matrix<2,2> I   = {1,0, 0,1};

    Matrix<2,1> new_mu    = mu_p + kkf_gain * y_m;
    Matrix<2,2> new_sigma = (I - kkf_gain * C) * sigma_p;

    return { new_mu, new_sigma };
}

runPIDWithKFIteration()

calculatePIDSpeedWithKF() is identical to calculatePIDSpeed() from Lab 5. Below is the iteration function that drives the main loop:

runPIDWithKFIteration() C++
void runPIDWithKFIteration() {

    // saturated data array
    if (kf_data_count >= KF_DATA_LEN) {
        kf_run_pid_flag = 0;
        stop();
        return;
    }

    // check for new ToF reading
    bool update = tofSensor1.checkForDataReady();

    // collect new ToF
    if (update) {
        kf_last_tof = tofSensor1.getDistance();
        tofSensor1.clearInterrupt();
        tofSensor1.stopRanging();
        tofSensor1.startRanging();
    }

    Matrix<1,1> u_mat = {(float)kf_pwm};
    Matrix<1,1> y_mat = {kf_last_tof};

    KalmanPair result = kalman_filter(kf_mu, kf_sigma, u_mat, y_mat, update);
    kf_mu    = result.mu;
    kf_sigma = result.sigma;

    float kf_position = kf_mu(0, 0);
    float kf_velocity = kf_mu(1, 0);

    calculatePIDSpeedWithKF(kf_data_count, kf_position);

    kf_time_arr[kf_data_count]        = millis() - kf_start_time;
    kf_tof_arr[kf_data_count]         = kf_last_tof;
    kf_pos_arr[kf_data_count]         = kf_position;
    kf_vel_arr[kf_data_count]         = kf_velocity;
    kf_motor_input_arr[kf_data_count] = kf_pwm;
    kf_data_count++;
}

Similarly to Lab 5, I only used PD control for this lab. After finishing the implementation, I began running tests with the new KF. I set the target distance to 12 in (304 mm) and tested with different values.

Run 1 — Kp = 0.3, Kd = 0.03

sig1 = 32.3592, sig2 = 32.3592, sig3 = 4.4721

KF PID run one — position and KF estimate

As we can see in the video, the car overshoots slightly but does a good job of tracking back and adjusting. In the graph, the KF values predict motion well and snap back to adjust to sensor measurements.


Run 2 — KF Model Only (sig3 × 10,000)

I wanted to test what would happen if I ran the KF model without relying on any sensor data. I pointed the car at a wall from a couple feet away and ran the PID while holding the car off the floor — only observing the KF model output, not the physical motion.

KF PID run two — model-only, very high sig3

The KF model follows the intended motion system of stopping at a target of 1 foot from the wall. The ToF measurements can be ignored — while running, the car slipped and plotted stray points, but these did not affect the overall KF run.


Tuned Result

After spending time tuning, I achieved the following result:

Tuned KF PID run

Collaboration

I referenced Lucca's website for guidance with testing the Kalman Filter and calculating my state matrices and variables. I also got a lot of help from Trevor during OH — he explained the KF function and helped me debug mistakes in my Python simulation. I spent the most time debugging the Python sim and tuning my d and sig3 values. Finally, I used Claude to style my website.